INTRODUCCIÓN AL LÍMITE
En pocas palabras, el proceso de límite consiste en examinar el comportamiento de una función f(x) cuando x se aproxima a un número c, que puede o no estar en el dominio de f. Un comportamiento límite aparece en muchas situaciones prácticas. Por ejemplo, el cero absoluto, que es la temperatura TC a la cual cesa toda actividad molecular, se puede aproximar epro en realidad nunca se alcanza. De forma similar, los economistas, quienes hablan de la utilidad en condiciones ideales, o los ingenieros, que perfilan especificaciones ideales de una máquina nueva, están efectivamente tratando con un comportamiento límite. (Hoffman, Bradley y Rosen p. 57, 2006)
Se ha puesto a pensar si una hoja de Excel tiene límite!!!! Cuántas páginas se pueden escribir en un documento de Word!!!!! A las cuántas entradas y salidas se daña tu USB!!!!
Ejercicio 1:
La eficiencia de un servidor con relación al tiempo y a una determinada cantidad de computadores, se puede registrar en la siguiente tabla.
T (h) e (0 < e <=1)
T (h) e (0 < e <=1)
0 0
0.5 0.1
1 0.2
1.5 0.4
2 0.5
2.5 0.6
3 0.7
3.5 0.75
4 0.75
A) gráfica estos datos.
B) que ocurre con el servidor.
Lo que la gráfica muestra es que cuando el tiempo tiende a infinito el límite del servidor será (0.75) esta será su máxima eficiencia.
Ejercicio 2:

Ejercicio 2:
analizar el comportamiento cuando se acerca X =3

X F(X)
3.1 6.1
3.01 6.01
3.001 6.001
2.8 5.8
2.9 5.9
2.99 5.99
2.999 5.999
3.1 6.1
3.01 6.01
3.001 6.001
2.8 5.8
2.9 5.9
2.99 5.99
2.999 5.999
Si se acerca por la derecha tiende a 6
si se acerca por la izquierda tiende a 6
la gráfica tendrá una discontinuidad
si se acerca por la izquierda tiende a 6
la gráfica tendrá una discontinuidad
Ejercicio 3:
el costo en millones de dólares que le supone a una agencia gubernamental incautar un X% de cierta droga ilegal es:
C =(528 X%)/(100-X%)
el costo en millones de dólares que le supone a una agencia gubernamental incautar un X% de cierta droga ilegal es:
C =(528 X%)/(100-X%)
A) hallar el costo de incautación del : X=
X= 25%
X= 50%
X= 75%
X= 99%
X= 25%
X= 50%
X= 75%
X= 99%
que sucede cuando:
X= 25%
X= 50%
X= 75%
X= 99%
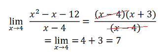
Calculo de límites analíticamente
Para este tema tendremos en cuenta 3 casos de factorización:
factor común:
factor común:
diferencia de cuadrados perfectos
Y por ultimo:
Esto es un trinomio de la forma
A)
b)
c)
d)
e)
f)
g)
h)
j)
k)
L)
Consideraciones:
Donde p es el precio en dólares y X es la cantidad vendida
A) vender cero unidades
B) mil unidades
C) muchísimas unidades
A)

B)
A) vender cero unidades
B) mil unidades
C) muchísimas unidades
A)
B)
C)
= ln10 - 10 + cos10 = -0.53
http://www.youtube.com/watch?v=Os2bz1-eeEg
No hay comentarios:
Publicar un comentario